Notice
Recent Posts
Recent Comments
Link
| 일 | 월 | 화 | 수 | 목 | 금 | 토 |
|---|---|---|---|---|---|---|
| 1 | 2 | 3 | 4 | |||
| 5 | 6 | 7 | 8 | 9 | 10 | 11 |
| 12 | 13 | 14 | 15 | 16 | 17 | 18 |
| 19 | 20 | 21 | 22 | 23 | 24 | 25 |
| 26 | 27 | 28 | 29 | 30 | 31 |
Tags
- Lv1
- lv0
- 스프링부트 도커
- 프로그래머스 풀이
- 삼각형의 완성조건
- Queue
- COS Pro
- 알고리즘
- 오름차순 정렬
- 프로그래머스
- 프로그래머스 자바
- 문자열
- 버퍼
- 자바
- Programmers
- Stack
- 스택
- 프로그래머스 문자열 정렬
- SWEA
- java
- StringTokenizer
- index of
- 이진수 변환
- 백준
- lv2
- 스프링부트 도커 배포
- 백준 N과 M 자바
- 클라이언트
- 스프링부트 도커로 배포
- 큐
Archives
- Today
- Total
mun dev
[백준] 19532 수학은 비대면강의입니다 자바(Java) 본문
문제설명
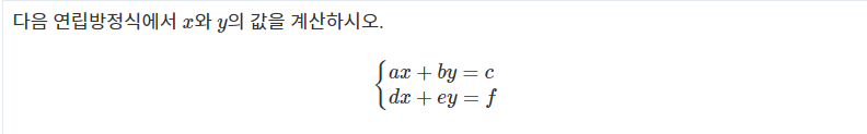
수현이는 4차 산업혁명 시대에 살고 있는 중학생이다. 코로나 19로 인해, 수현이는 버추얼 학교로 버추얼 출석해 버추얼 강의를 듣고 있다. 수현이의 버추얼 선생님은 문자가 2개인 연립방정식을 해결하는 방법에 대해 강의하고, 다음과 같은 문제를 숙제로 냈다.

4차 산업혁명 시대에 숙제나 하고 앉아있는 것보다 버추얼 친구들을 만나러 가는 게 더 가치있는 일이라고 생각했던 수현이는 이런 연립방정식을 풀 시간이 없었다. 다행히도, 버추얼 강의의 숙제 제출은 인터넷 창의 빈 칸에 수들을 입력하는 식이다. 각 칸에는 −999이상 이하의 정수만 입력할 수 있다. 수현이가 버추얼 친구들을 만나러 버추얼 세계로 떠날 수 있게 도와주자
입력

출력

통과한 코드 ✅
import java.util.*;
import java.io.*;
public class Main {
public static void main(String[] args) throws IOException {
BufferedReader br = new BufferedReader(new InputStreamReader(System.in));
StringTokenizer st=new StringTokenizer(br.readLine());
ArrayList<Integer> list=new ArrayList<>();
int a=Integer.parseInt(st.nextToken());
int b=Integer.parseInt(st.nextToken());
int c=Integer.parseInt(st.nextToken());
int d=Integer.parseInt(st.nextToken());
int e=Integer.parseInt(st.nextToken());
int f=Integer.parseInt(st.nextToken());
for(int x=-999; x<=999; x++){
for(int y=-999; y<=999; y++){
if(a*x+b*y==c && d*x+e*y==f){
System.out.println(x+" "+y);
}
}
}
}
}
'알고리즘 > 백준' 카테고리의 다른 글
| [백준] 1037 약수 자바(Java) (0) | 2023.05.22 |
|---|---|
| [백준] 13909 창문닫기 자바(Java) (0) | 2023.05.21 |
| [백준] 11478 서로 다른 부분 문자열의 개수 자바(Java) (0) | 2023.05.19 |
| [백준] 1269 대칭 차집합 자바(Java) (0) | 2023.05.19 |
| [백준] 14889 스타트와 링크 자바(Java) (1) | 2023.05.16 |